Đòn bẩy trong giao dịch tài chính là gì? Công thức tính và tác dụng của đòn bẩy trong giao dịch tài chính
Leverage, hay còn gọi là đòn bẩy tài chính, là một công cụ phổ biến trong giao dịch tài chính, cho phép nhà đầu tư điều chỉnh kích thước giao dịch lớn hơn so với số vốn thực tế họ sở hữu. Sử dụng leverage có thể mang lại những cơ hội lớn để tăng lợi nhuận, nhưng cũng đi kèm vớirủi ro cao. Trong bài viết này, Hubbrokers sẽ cung cấp thông tin chi tiết về đòn bẩy tài chính, bao gồm khái niệm, ưu điểm và rủi ro, để giúp bạn hiểu rõ hơn về công cụ này và quyết định liệu nên sử dụng trong giao dịch forex hay không?
Nội dung bài viết
1. Đòn bẩy trong giao dịch tài chính là gì?
Đòn bẩy trong giao dịch tài chính là một công cụ giúp nhà đầu tư thực hiện giao dịch với số tiền lớn hơn số tiền mà họ có sẵn. Đơn giản, đòn bẩy cho phép nhà đầu tư sử dụng vốn vay từ sàn giao dịch để đầu tư, thay vì dùng toàn bộ vốn tự có, nhằm mục tiêu thu về những khoản lợi nhuận lớn hơn.

Công thức tính đòn bẩy tài chính là: Đòn bẩy = Số tiền mà nhà đầu tư có thể đầu tư / Số tiền mà họ thực sự có. Điều này có nghĩa là mức đòn bẩy cho biết bao nhiêu lần nhà đầu tư có thể tăng cường vốn của mình bằng vốn vay từ sàn giao dịch.
Ví dụ: Nếu bạn có 100$ và muốn thực hiện giao dịch với 500$, bạn cần một đòn bẩy 1:5. Khi đó, bạn chỉ cần sử dụng 100$ của mình và sàn giao dịch sẽ cho bạn mượn 400$ cho bạn.
2. Cách tính đòn bẩy trong giao dịch tài chính
Cách tính đòn bẩy tài chính có thể được xác định thông qua công thức sau:
Với:

DFL là độ lớn của đòn bẩy tài chính;
EBIT là lợi nhuận trước thuế và lãi vay;
EPS là lợi nhuận của vốn chủ sở hữu.
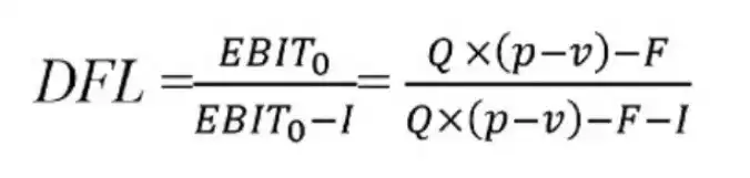
Để tính đòn bẩy tài chính sau khi có thêm khoản lãi vay phải trả ( I ), ta sẽ được công thức mới:

Trong đó:
F: chi phí cố định (không bao gồm lãi vay);
v: chi phí biến đổi trên 1 đơn vị sản phẩm
p: giá bán
Q: số lượng sản phẩm;
I: lãi vay phải trả.
v: chi phí biến đổi trên 1 đơn vị sản phẩm;
3. Đòn bẩy trong thị trường ngoại hối
Trong thị trường forex, đòn bẩy là một công cụ mạnh mẽ giúp các nhà đầu tư tận dụng tối đa số vốn có sẵn để mở các vị thế giao dịch lớn hơn. Bằng cách sử dụng đòn bẩy, trader có thể mở các vị thế có giá trị lớn hơn nhiều lần so với số tiền họ có trong tài khoản. Điều này tạo ra cơ hội kiếm lợi nhuận cao hơn, nhưng cũng đi kèm với rủi ro tăng lên.
Một trong những tác dụng quan trọng nhất của đòn bẩy là tận dụng vốn nhỏ để tham gia vào thị trường forex. Thay vì phải có số vốn lớn để mở một vị thế giao dịch có giá trị cao, trader có thể sử dụng đòn bẩy để mở các vị thế đó với số vốn nhỏ hơn nhiều lần. Điều này làm tăng cơ hội kiếm lợi nhuận, đặc biệt đối với những người mới bắt đầu với số vốn nhỏ.
Hơn nữa, đòn bẩy cũng giúp phân bổ vốn hiệu quả hơn. Thay vì đặt toàn bộ số vốn vào một vị thế duy nhất, trader có thể chia nhỏ số vốn và mở nhiều vị thế khác nhau cùng một lúc. Điều này giúp giảm thiểu rủi ro bằng cách phân tán vốn và tăng cơ hội kiếm lợi nhuận từ nhiều giao dịch khác nhau.
Tuy nhiên, cũng cần lưu ý rằng đòn bẩy cũng mang lại rủi ro tương ứng. Nếu thị trường di chuyển ngược lại dự đoán của trader, thì số tiền mà trader mất cũng sẽ lớn hơn nếu sử dụng đòn bẩy. Do đó, việc sử dụng đòn bẩy cần được thực hiện cẩn thận và kỹ lưỡng để tránh rủi ro không mong muốn.
4. Rủi ro khi sử dụng đòn bẩy trong giao dịch tài chính
Đòn bẩy tài chính mang lại rất nhiều lợi ích cho các nhà đầu tư, nhưng cũng đi kèm với nhiều rủi ro, đặc biệt là khi không được sử dụng đúng cách. Dưới đây là một số rủi ro quan trọng mà các trader cần phải xem xét khi sử dụng đòn bẩy:
Rủi ro về lỗ lớn: Một trong những rủi ro lớn nhất của việc sử dụng đòn bẩy cao là khả năng mất lớn hơn số tiền gốc. Nếu thị trường di chuyển ngược lại dự đoán của trader, lỗ rủi ro cũng sẽ tăng lên theo tỷ lệ tương ứng với mức đòn bẩy sử dụng.
Ảnh hưởng tâm lý: Sử dụng đòn bẩy cao có thể ảnh hưởng đến tâm lý của trader. Sự áp lực từ việc giao dịch với số tiền lớn hơn có thể dẫn đến quyết định lựa chọn sai lầm hoặc tâm trạng lo lắng, lo sợ, gây ra các hành động không cân nhắc.
Rủi ro về cháy tài khoản: Sử dụng đòn bẩy quá cao có thể dẫn đến tình trạng cháy tài khoản, nghĩa là mất hết số vốn đầu tư. Điều này có thể xảy ra nhanh chóng nếu thị trường di chuyển đối lập với dự đoán của trader.
Vì vậy, trước khi sử dụng đòn bẩy, các trader cần phải hiểu rõ các rủi ro này và chỉ sử dụng mức đòn bẩy phù hợp với chiến lược giao dịch của mình. Đồng thời, việc kiểm soát rủi ro và có kế hoạch quản lý vốn là rất quan trọng để bảo vệ tài khoản giao dịch khỏi những biến động không mong muốn trên thị trường.
5. Lưu ý khi sử dụng đòn bẩy trong giao dịch tài chính
Như mọi trader đều biết, đòn bẩy có thể là một công cụ mạnh mẽ để tăng cơ hội lợi nhuận trong giao dịch forex. Tuy nhiên, việc sử dụng đòn bẩy không chỉ mang lại lợi ích mà còn tiềm ẩn rủi ro lớn, có thể khiến tài khoản của bạn bị thiệt hại nhanh chóng. Điều này đặc biệt quan trọng khi một trader mới bắt đầu hoặc đang tìm cách tối ưu hóa chiến lược giao dịch của mình.
Khi sử dụng đòn bẩy trong giao dịch forex, có một số nguyên tắc cơ bản mà các trader cần phải tuân thủ để đảm bảo rằng việc sử dụng đòn bẩy là hợp lý và an toàn:

Xác định mục tiêu và khả năng chịu rủi ro: Đầu tiên, bạn cần xác định rõ mục tiêu đầu tư của mình và mức độ rủi ro bạn có thể chấp nhận. Bạn có muốn giao dịch ngắn hạn hay dài hạn? Mức độ rủi ro mà bạn sẵn lòng chịu đựng là bao nhiêu?
Nếu bạn muốn tối đa hóa lợi nhuận trong giao dịch ngắn hạn, ví dụ như giao dịch lướt sóng, thì có thể bạn sẽ cần một mức đòn bẩy cao, dao động từ 1:100 đến 1:1000.
Tóm lại, việc sử dụng đòn bẩy tài chính trong giao dịch forex mang lại cơ hội lớn cho các nhà đầu tư, nhưng cũng cần được thực hiện một cách có kiến thức và cân nhắc. Nắm vững nguyên tắc cơ bản và luôn tuân thủ kỷ luật giao dịch sẽ giúp bạn tận dụng tối đa lợi ích từ đòn bẩy mà vẫn bảo vệ tài khoản của mình khỏi những rủi ro không mong muốn.
6. Kết luận
Trên đây là toàn bộ kiến thức về đòn bẩy trong giao dịch tài chính mà Hubbrokers muốn chia sẻ đến bạn đọc. Hy vọng rằng qua bài viết này, bạn đã hiểu rõ về đòn bẩy trong giao dịch tài chính là gì, ý nghĩa của nó cũng như các rủi ro khi sử dụng đòn bẩy trong giao dịch forex.
Đừng quên theo dõi website của chúng tôi để cập nhật thêm nhiều kiến thức hữu ích khác, giúp bạn trở nên vững vàng hơn trên thị trường forex nhé. Chúc bạn gặt hái được nhiều thành công trong giao dịch!
* Ghi chú
Tất cả thông tin có trên Website của chúng tôi được xuất bản một cách thiện chí và chỉ dành cho mục đích thông tin chung nhất cho độc giả. Người đọc sẽ hoàn tự trách nhiệm với bất kỳ hành động nào thực hiện đối với thông tin được tìm thấy trên trang web của chúng tôi. Tại Hubbrokers, ưu tiên của chúng tôi là cung cấp thông tin chất lượng cao và chính xác nhất. Chúng tôi dành thời gian để xác định, nghiên cứu và tạo ra nội dung giáo dục hữu ích cho độc giả. Để duy trì tiêu chuẩn này và tiếp tục tạo ra nội dung tuyệt vời, những đối tác của chúng tôi có thể thưởng cho chúng tôi một khoản hoa hồng cho các vị trí trong bài viết của chúng tôi. Tuy nhiên, Nó là những khoản hoa hồng này không ảnh hưởng đến quy trình tạo nội dung không thiên vị, trung thực và hữu ích của chúng tôi.
Email của bạn sẽ không được hiển thị công khai. Các trường bắt buộc được đánh dấu *












